Tabel 1. Disain
Metode Pembelajaran
(A)
|
|||
Diskusi
(A1)
|
Konvensional
(A2)
|
||
Bentuk Tes
(B)
|
PG
(B1)
|
A1B1
µ1 |
A2B1
µ2
|
ESAI
(B2)
|
A1B2
µ3
|
A2B2
µ4
|
|
Misalkan:
A: Metode Pembelajaran
B: Bentuk Tes
Y: Hasil belajar
matematika
A. Hipotesis penelitian sebagai berikut.
1. Metode pembelajaran mempengaruhi hasil belajar
matematika yang tergantung pada bentuk tes (Interaksi metode pembelajaran dan
bentuk tes mempengaruhi hasil belajar matematika)
2. Bagi kelompok siswa yang diberi tes formatif bentuk
tes PG, hasil belajar matematika siswa yang diajar dengan metode diskusi lebih rendah dari pada hasil belajar
matematika siswa yang diajar dengan metode konvensional.
3. Bagi kelompok siswa yang diberi tes formatif bentuk
tes Esai, hasil belajar matematika siswa yang diajar diskusi lebih tinggi daripada hasil belajar
matematika siswa yang diajar dengan metode konvensional.
4. Bagi kelompok siswa yang diajar dengan metode diskusi,
hasil belajar matematika siswa yang yang diberi tes formatif bentuk tes PG lebih rendah daripada hasil belajar
matematika siswa yang diberi tes formatif bentuk tes Esai.
5. Bagi kelompok siswa yang diajar metode konvensional,
hasil belajar matematika siswa yang diberi tes formatif bentuk tes PG lebih tinggi daripada hasil belajar
matematika siswa yang diberi tes formatif bentuk tes Esai.
6. Hasil belajar matematika siswa yang diajar dengan
metode diskusi lebih tinggi daripada
hasil belajar matematika siswa yang diajar dengan metode konvensional.
7. Hasil belajar matematika siswa yang diberi tes
formatif bentuk tes PG lebih rendah
daripada hasil belajar matematika siswa yang diberi tes formatif bentuk tes
Esai.
Pertanyaan
1. Tuliskan hipotesis statistiknya (H0 dan H1) dari
hipotesis penelitian A2 s.d. A7.
2. Dengan menggunakan data pada
tabel di bawah
a. Uji apakah metode
pembelajaran mempengaruhi hasil belajar tergantung pada bentuk tes ?
b. Berdasarkan jawaban no. 2a,
uji hipotesis statistik yang layak diuji.
Tabel 2. Data
Metode Pembelajaran
(A)
|
|||
Diskusi
(A1)
|
Konvensional
(A2)
|
||
Bentuk Tes
(B)
|
PGB
(B1)
|
21
22
19
21
18
|
23
27
24
26
24
|
ESAI
(B2)
|
23
27
24
26
24
|
11
14
13
12
14
|
|
JAWABAN
JAWABAN
NO 1
Hipotesis statistiknya (H0 dan H1) dari hipotesis
penelitian A2 s.d. A7 adalah :
1.
Bagi kelompok siswa yang diberi tes formatif bentuk tes
PG, hasil belajar matematika siswa yang diajar dengan metode diskusi lebih rendah dari pada hasil belajar
matematika siswa yang diajar dengan metode konvensional.
Hipotesis statistiknya:
Ho : µ1 ≥ µ2
H1 : µ1 < µ2
2.
Bagi kelompok siswa yang diberi tes formatif bentuk tes
Esai, hasil belajar matematika siswa yang diajar diskusi lebih tinggi daripada hasil belajar matematika siswa yang diajar
dengan metode konvensional.
Hipotesis statistiknya:
Ho : µ3 ≤ µ4
H1 : µ3 > µ4
3.
Bagi kelompok siswa yang diajar dengan metode diskusi,
hasil belajar matematika siswa yang yang diberi tes formatif bentuk tes PG lebih rendah daripada hasil belajar
matematika siswa yang diberi tes formatif bentuk tes Esai.
Hipotesis statistiknya:
Ho : µ1 ≥ µ3
H1 : µ1 < µ3
4.
Bagi kelompok siswa yang diajar metode konvensional,
hasil belajar matematika siswa yang diberi tes formatif bentuk tes PG lebih tinggi daripada hasil belajar
matematika siswa yang diberi tes formatif bentuk tes Esai.
Hipotesis statistiknya:
Ho : µ2 ≤ µ4
H1 : µ2 > µ4
5.
Hasil belajar matematika siswa yang diajar dengan metode
diskusi lebih
tinggi daripada hasil belajar matematika siswa yang diajar dengan
metode konvensional.
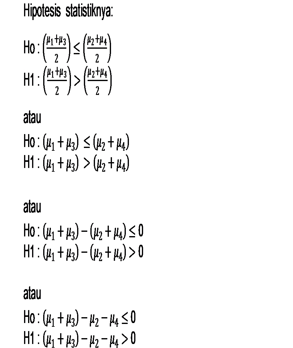
6.
Hasil belajar matematika siswa yang diberi tes formatif
bentuk tes PG lebih rendah daripada
hasil belajar matematika siswa yang diberi tes formatif bentuk tes Esai.
JAWABAN
NO 2
UntuK
No 2a
1.
Tabel
ANOVA yang digunakan
Sumber
Variasi
|
derajat
bebas
|
Jumlah
Kuadrat (JK)
|
Kuadrat Tengah
(KT)
|
F
hitung
|
Baris (B)
Kolom (K) Interaksi (I)
Error (Galat)
|
b-1
k-1
(b-1)(k-1)
bk(n-1)
|
JKB
JKK JK(I)
JKE
|
KTB=JKB/(r-1)
KTK=JKK/(c-1) KTI = JKI/((r-1)(c-1))
KTE=JKE/(rc(n-1))
|
F1=KTB/KTE
F2=KTK/KTE F3=KTI/KTE
|
Total
|
rcn-1
|
JKT
|
Ket:
b
= jumlah baris
k
= jumlah kolom
n
= banyaknya data
dengan:
3.
Membuat
Tabel ANOVA
Berdasarkan hasil
dari langkah 3
Sumber
Variasi
|
derajat
bebas
|
Jumlah
Kuadrat (JK)
|
Kuadrat Tengah
(KT)
|
F
hitung
|
Baris (B)
Kolom (K) Interaksi (I)
Error (Galat)
|
dbb=2-1=1
dbk =2-1=1
dbi =(2-1)(2-1)
=1
dbE 2.2(5-1) = 4.4 = 16
|
JKB = 68,45
JKK = 68,45
JKI = 344,45
JKE = 39,2
|
KTB=68,45
KTK=68,45
KTI = 344,45
KTE=39,2/16
= 2,45
|
F1=27,93878
F2=27,93878
F3= 140,5918
|
Total
|
2.2.5-1 = 19
|
JKT
|
4.
Daerah
Kritis
Karena dbb
= dbk = dbi = 1 maka Ftabel yang digunakan
untuk F1, F2, F3 juga sama
Ftabel = F(1,16) untuk
α = 0,05 maka F(1,16)
= 4,49
untuk
α = 0,01 maka F(1,16)
= 8,53
5.
Kesimpulan
a. F1 > Ftabel maka H0
ditolak
Ada pengaruh bentuk tes terhadap hasil belajar
b. F2 > Ftabel maka H0
ditolak
Ada pengaruh metode pembelajaran terhadap hasil belajar
c. F3 > Ftabel maka H0
ditolak
Ada pengaruh interaksi metode pembelajaran dengan bentuk
tes terhadap hasil belajar
Untuk
2b
Metode Pembelajaran
(A)
|
|||
Diskusi
(A1)
|
Konvensional
(A2)
|
||
Bentuk Tes
(B)
|
PGB
(B1)
|
µ1
|
µ2
|
ESAI
(B2)
|
µ3
|
µ4
|
|
Berdasarkan
jawaban 2a
Maka
hipotesis yang layak diuji adalah:
a.
Ada
pengaruh metode pembelajaran diskusi dengan menggunakan tes pilihan ganda
terhadap hasil belajar
Hipotesis statistic:
H0 : µ1
= µ2
= µ3
= µ4
H1 : µ1
≠ µ2
, µ1
≠ µ3 ,
µ1
≠ µ4
a.
Ada
pengaruh metode pembelajaran diskusi dengan menggunakan tes essai terhadap
hasil belajar
Hipotesis statistic:
H0 : µ1
= µ2
= µ3
= µ4
H0 : µ3
≠ µ1
, µ3
≠ µ2 ,
µ3
≠ µ4
b.
Ada
pengaruh metode pembelajaran konvensional dengan menggunakan tes pilihan ganda
terhadap hasil belajar
Hipotesis
statistiknya:
H0 : µ1
= µ2
= µ3
= µ4
H0
: µ2
≠ µ1
, µ2
≠ µ3 ,
µ2
≠ µ4
c.
Ada
pengaruh metode pembelajaran konvensional dengan menggunakan tes essai terhadap
hasil belajar matematika
Hipotesis
statistiknya:
H0 : µ1
= µ2
= µ3
= µ4
H0
: µ4
≠ µ1
, µ4
≠ µ2 ,
µ4
≠ µ3




Tidak ada komentar:
Posting Komentar